• 开平市人民政府门户网站
  •   
    • 搜索
您当前的位置: 首页 > 开平市卫生健康局 > 政务公开 > 政务公告
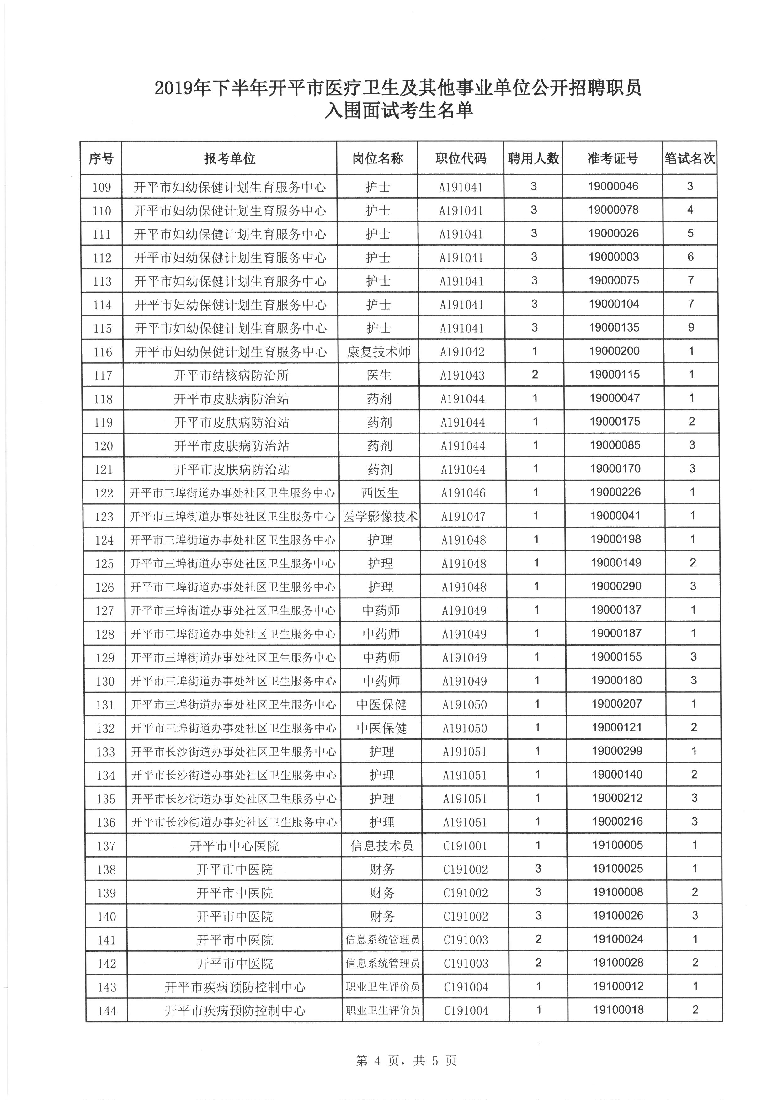
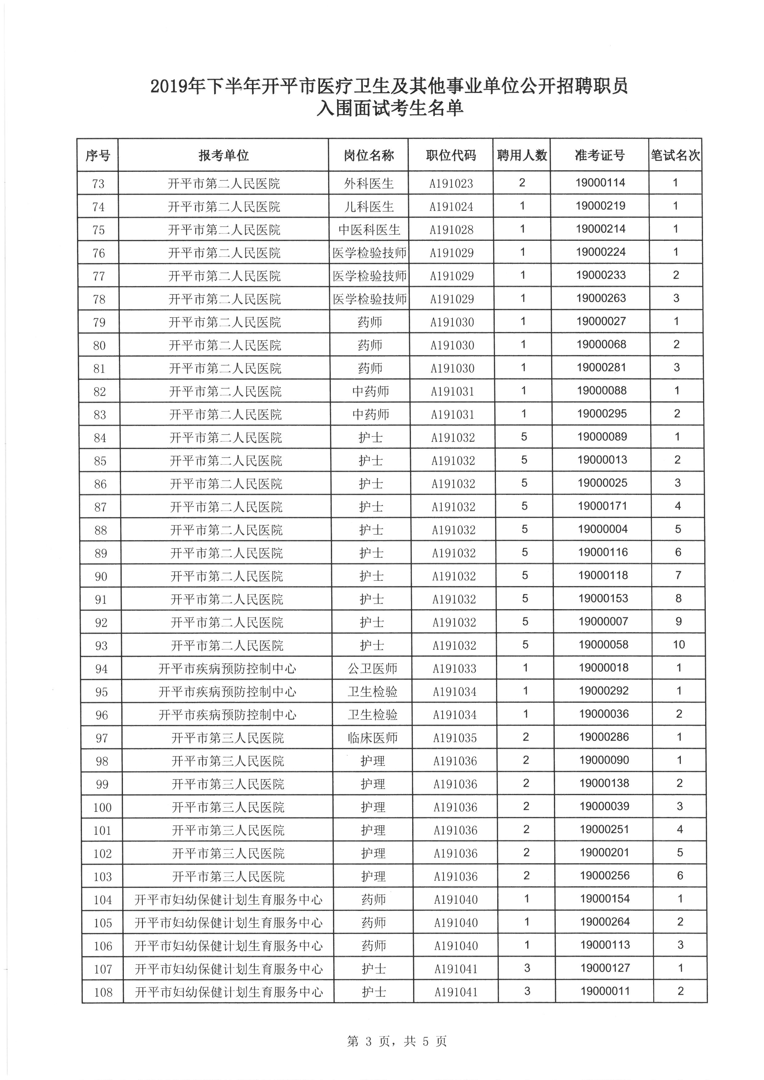
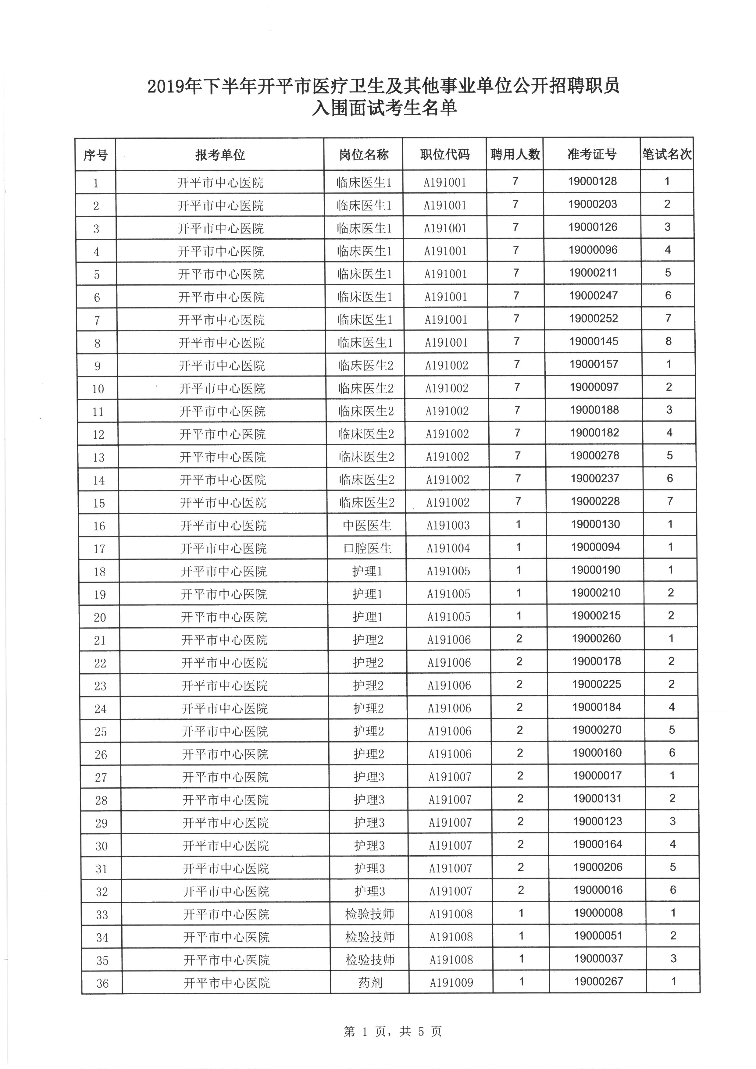
2019年下半年开平市医疗卫生及其他事业单位公开招聘职员入围面试通知
发布日期:2020-01-02 16:58
来源:本网
打印
【字体:

SKM_C22620010214500_0001.jpgSKM_C22620010214500_0002.jpgSKM_C22620010214501_0001.jpgSKM_C22620010214501_0002.jpgSKM_C22620010214501_0003.jpgSKM_C22620010214501_0004.jpgSKM_C22620010214501_0005.jpg


相关附件:

 
联系我们 网站帮助 网站地图 服务申明
 版权所有:开平市人民政府    主办:开平市人民政府办公室 
备案编号: 粤ICP备05079694号  网站标识码:4407830003  粤公网安备; 44078302000116
开平市政府网公众号